
圖1
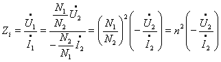
理想變壓器在正弦穩態電路中,還表現出有變換阻抗的特性,如圖1所示理想變壓器,次級接負載阻抗ZL,由設出的電壓、電流參考方向及同名端位置,可得理想變壓器在正弦電路里相量形式為
由ab端看,輸入阻抗為
因負載ZL上電壓、電流為非關聯參考方向,將
代入上式,
即得
上式表明,當次級接阻抗ZL,對初級來說,相當于在初級接一個值為n2ZL的阻抗,即理想變壓器有變換阻抗的作用。
習慣上把ZL稱為次級對初級的折合阻抗。實際應用中,一定的電阻負載RL接在變壓器次級,在變壓器初級相當于接(N1/N2)2RL的電阻。如果改變n=N1/N2,輸入電阻n2RL也改變,所以可利用改變變壓器匝比來改變輸入電阻,實現與電源匹配,使負載獲得最大功率。 由以上介紹可知,理想變壓器有3個主要性能,即變壓、變流、變阻抗。理想變壓器的變壓關系適用于一切變動的電壓、電流情況。


返回頂部
刷新頁面
下到頁底