星三角
1.不考慮端線阻抗的情況

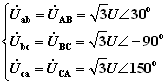
負載上相電壓與線電壓相等:

相電流為:


討論:
若不考慮端線阻抗,則:
。1)當負載額定電壓等于電源線電壓時,應如何連接?
答:應三角形連接。
(2)當負載額定電壓等于電源線電壓的
時,應如何連接?
答:應星形連接。
三相電動機:星形接法或三角形接法;
電燈:三相四線制星形接法(必須帶中線)。
2.考慮端線阻抗的情況

由對稱性,得出其它兩相的電壓、電流。
星三角
1.不考慮端線阻抗的情況

負載上相電壓與線電壓相等:

相電流為:


討論:
若不考慮端線阻抗,則:
。1)當負載額定電壓等于電源線電壓時,應如何連接?
答:應三角形連接。
(2)當負載額定電壓等于電源線電壓的
時,應如何連接?
答:應星形連接。
三相電動機:星形接法或三角形接法;
電燈:三相四線制星形接法(必須帶中線)。
2.考慮端線阻抗的情況

由對稱性,得出其它兩相的電壓、電流。