1)定義:其兩端電壓總能保持定值或一定的時間函數,且電壓值與流過它的電流 i 無關的元件叫理想電壓源。
2)電路符號
![]() |
|
3)理想電壓源的電壓、電流關系 (1)電源兩端電壓由電源本身決定,與外電路無關;與流經它的電流方向、大小無關。 (2)通過電壓源的電流由電源及外電路共同決定。 伏安關系曲線如右圖示: |
![]() |
| (1)電壓、電流的參考方向非關聯; | |
![]() |
物理意義: 電流(正電荷 )由低電位向高電位移動,外力克服電場力作功電源發出功率。 |
| (2)電壓、電流的參考方向關聯 | |
![]() |
物理意義: 電流(正電荷 )由高電位向低電位移動,電場力作功,電源吸收功率,充當負載。 |
| (1)實際電壓源模型 | ![]() |
| 考慮實際電壓源有損耗,其電路模型用理想電壓源和電阻的串聯組合表示,這個電阻稱為電壓源的內阻。 |
![]() |
|
| 實際電壓源的端電壓在一定范圍內隨著輸出電流的增大而逐漸下降。因此,一個好的電壓源的內阻 注:實際電壓源也不允許短路。因其內阻小,若短路,電流很大,可能燒毀電源。 |
2. 理想電流源
1)定義不管外部電路如何,其輸出電流總能保持定值或一定的時間函數,其值與它的兩端電壓u 無關的元件定義為理想電流源。
| 2) 電路符號 | |
![]() |
| 3)理想電流源的電壓、電流關系 (1)電流源的輸出電流由電源本身決定,與外電路無關;與它兩端電壓方向、大小無關 (2)電流源兩端的電壓由其本身輸出電流及外部電路共同決定。 伏安關系曲線如右圖示 |
![]() |
4)電流源的功率
![]() |
![]() |
(1)電壓、電流的參考方向非關聯;
表示電流(正電荷)由低電位向高電位移動,外力克服電場力作功,電源發出功率,起電源作用。
(2)電壓、電流的參考方向關聯;
表示電流(正電荷)由高電位向低電位移動,電場力作功,電源吸收功率,充當負載。理想電流源兩端的電壓可以有不同的極性,它可以向外電路提供電能,亦可以從外電路接受電能。5)實際電流源
(1)實際電流源模型
![]() |
考慮實際電流源有損耗,其電路模型用理想電流源和電阻的并聯組合表示,這個電阻稱為電流源的內阻。 |
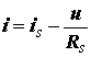
(2)實際電流源的電壓、電流關系 ![]() 即:實際電流源的輸出電流在一定范圍內隨著端電壓的增大而逐漸下降。因此,一個好的電流源的內阻 |
![]() |
| 注:實際電流源也不允許開路路。因其內阻很大,若開路,端電壓很大,可能燒毀電源。 | |















返回頂部
刷新頁面
下到頁底