濾波電路又稱為濾波器,是一種選頻電路,能夠使特定頻率范圍的信號通過,而使其它頻率的信號大大衰減即阻止其通過。按其工作頻率范圍的不同,濾波電路可分為低通濾波器、高通濾波器、帶通濾波器、帶阻濾波器和全通濾波器。僅由電阻、電容、電感這些無源元件組成的濾波電路稱為無源濾波器。如果濾波電路中含有有源元件,如集成運放等,則稱為有源濾波器。與無源濾波器相比,有源濾波器具有體積小、效率高、帶負載能力強、頻率特性好,而且在濾波的同時還可以將有用信號放大等一系列優點,因而得到廣泛應用。
圖1(a)所示電路為一階有源低通濾波電路。
![]() |
![]() |
| 圖1(a) 電路圖 | 圖1(b) 頻幅特性 |
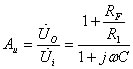
由RC電路可知
![]() |
(1) |
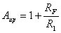
根據同相比例運算電路的運算關系,有
=(1+
)
,故濾波器的電壓傳遞函數為
![]() |
(2) |
令
,即
,上式可變為
![]() |
(3) |
當f=0時,
,其中
為電路的通帶放大倍數。
當f=f0時,
。
當f=∞時,
。
其幅頻特性如圖1(b)所示。
為改善濾波效果,使f>fo時,信號衰減的更快,一般在圖1(a)所示的一階低通濾波器的基礎上再增加一級RC電路就構成二階有源低通濾波器,如圖2所示。
![]() |
![]() |
| 圖2(a) 電路圖 | 圖1(b) 頻幅特性 |









返回頂部
刷新頁面
下到頁底